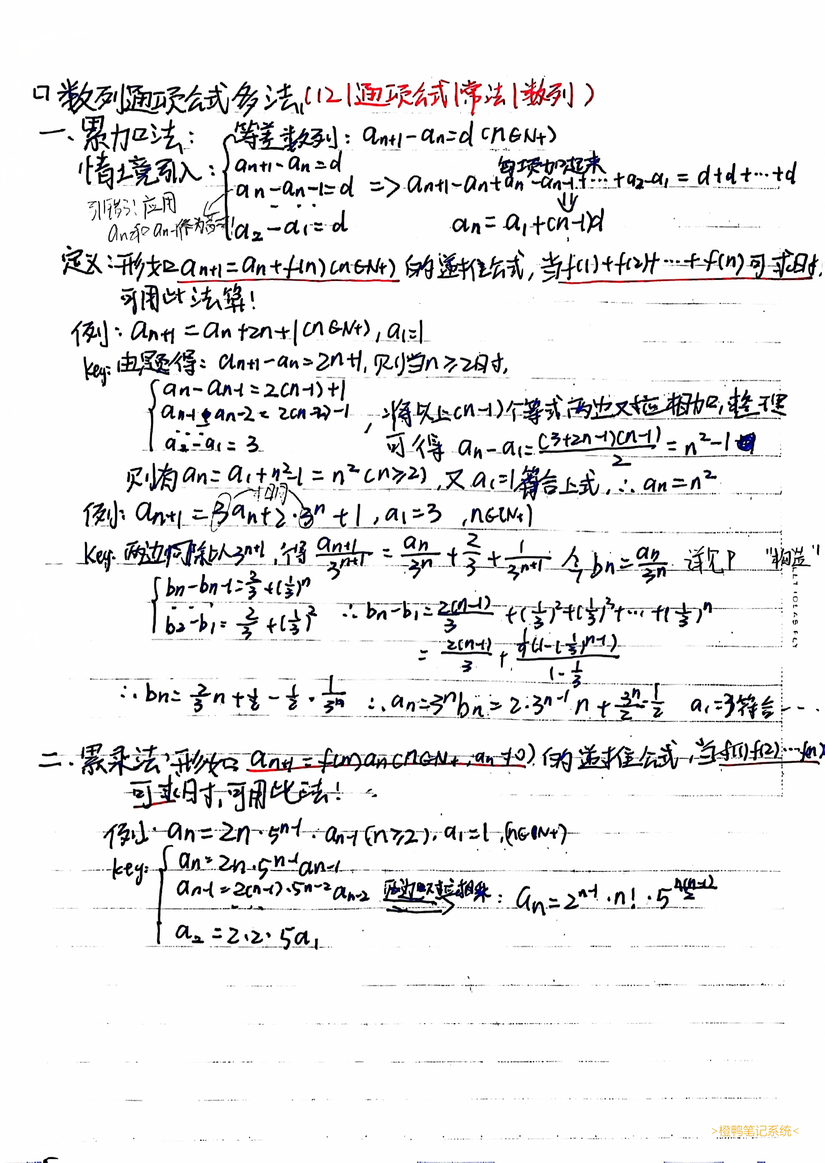
ViewNote-数列通项公式多法
2024-08-30 19:30:03
12|通项公式|常法|数列
.jpg?newnote=true)
.jpg?newnote=true)
../
| Name | Tags | Update Date |
|---|---|---|
| 0.Special.AdditionalFiles/ | 注:语录本补充文件夹,附加文件会放在这里! | |
| 0.Special.TemporaryFiles/ | 注:语录本临时文件夹,没啥用的文件会放在这里! | |
| 0.封面.jpg | None | 2024-07-13 04:56:08 |
| 分式函数求值域 | 12, 常法, 函数, 值域 | 2024-08-30 19:30:02 |
| 数列通项公式多法 | 12, 通项公式, 常法, 数列 | 2024-08-30 19:30:03 |
| 数列求和多法 | 12, 数列, 求和, 常法 | 2024-08-30 19:30:04 |
| 方法型短语录集 | 随记 | 2024-10-01 23:35:25 |
| 带电粒子在场中运动 | 14, 同步, 磁场, 组合场, 复合场 | 2024-08-30 19:30:05 |
| 2_1_11_期中考小经验 | Recorder, 2_1_11_M | 2024-11-30 14:46:46 |
| 十一月语录摘录 | Recorder, 2024, 11(月) | 2024-11-30 14:46:46 |
| 2_1_10_月考语录集锦 | Recorder, 2_1_10_Mo | 2024-11-30 14:46:45 |
| 十月语录摘录 | Recorder, 2024, 10(月) | 2024-11-30 14:46:45 |
| 九月语录摘录 | Recorder, 2024, 09(月) | 2024-10-01 23:35:25 |
| 八月语录摘录 | Recorder, 2024, 08(月) | 2024-08-30 19:29:56 |
| 溶液蒸干成分判断! | 15, 盐类水解, 题型 | 2024-08-30 19:29:58 |
| 初中统计计算法回顾 | 12, 统计, 回顾, 计算 | 2024-08-30 19:29:59 |
| 七月语录摘录 | Recorder, 2024, 07(月) | 2024-08-30 19:30:00 |
| 碰撞的基本计算-怪法二则 | 14, 怪法, 碰撞 | 2024-08-30 19:30:02 |
| 语录预告! -灵感计划写这儿! | Special Page | 2024-08-30 19:30:02 |
